연습문제

연습문제
차수 2019년 12월 1일
과목 물류관리사
물류와경영

문제 1. RFID의 주파수대역별 특징에 관한 설명으로 옳지 않은 것은?

문제 2. POS 시스템으로부터 얻을 수 있는 정보를 모두 고른 것은?

문제 3. 다음 설명에 해당하는 유통업종은?

문제 4. 물류표준화의 목적에 해당하지 않는 것은?

문제 5. 물류표준화 내용 중 소프트웨어 표준화에 해당하는 것을 모두 고른 것은?

문제 6. 유닛로드시스템(Unit Load System)에 관한 설명으로 옳지 않은 것은?

문제 7. 도매기관에 관한 설명으로 옳지 않은 것은?

문제 8. 물류정보의 종류에 관한 설명으로 옳지 않은 것은?

문제 9. 물류정보시스템에 관한 설명으로 옳지 않은 것은?

문제 10. 바코드에 관한 설명으로 옳은 것은?

문제 11. 송유관 네트워크로 A 공급지에서 F 수요지까지 최대의 유량을 보내려고 한다. 최대유량은? (단, 링크의 화살표 방향으로만 송유가능하며 링크의 숫자는 용량을 나타냄)


문제 12. 다음 통행배정모형 중 용량비제약모형을 모두 고른 것은?

문제 13. 20개의 공항을 보유하고 있는 국가가 허브 앤드 스포크(Hub and Spoke) 네트워크를 구축하려고 한다. 20개의 공항 중 4개를 허브로 선택하여 운영할 경우에 총 몇 개의 왕복노선이 필요한가?

문제 14. 화물분포모형이 아닌 것은?

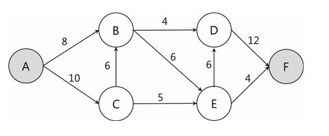
문제 15. A 공장에서 B 물류창고까지 도로망을 이용하여 상품을 운송하려고 한다. 최소비용수송계획법에 의한 A 공장에서 B 물류창고까지의 총운송비용 및 총운송량은? (단, 링크의 첫째 숫자는 도로용량, 둘째 숫자는 톤당 단위운송비용임)


문제 16. 해상운송 용어에 관한 설명으로 옳은 것은?

문제 17. 항만의 시설에 관한 설명으로 옳은 것은?

문제 18. 컨테이너만을 화차에 싣는 방식으로 대량의 컨테이너를 신속히 처리하고자 할 경우에 사용하는 방식은?

문제 19. 철도컨테이너의 운송방식 중 TOFC 방식에 대한 설명이 아닌 것은?

문제 20. 철도전용운송 체제중 컨테이너를 적재하고 터미널 사이를 정기적으로 고속운행하는 운송방식은?

문제 21. 선하증권에 관한 설명으로 옳지 않은 것은?

문제 22. 컨테이너 뒷문에 표기된 “TARE 2,350 KG”에서 2,350 KG이 의미하는 것은?

문제 23. 항공화물운송장(AWB)과 선하증권(B/L)에 관한 설명으로 옳지 않은 것은?

문제 24. 국제물류에서 항만의 기능에 관한 설명으로 옳지 않은 것은?

문제 25. 해상화물 운송선박 및 항만시설에 대한 해상 테러 가능성을 대비하기 위하여 체약국과 선사 및 선박이 준수해야 하는 보안 사항 등을 규정하고 있는 것은?

문제 26. Institute Cargo Clause(A)(2009) 제4조 일반면책조항에 해당하지 않는 것은?

문제 27. 신용장통일규칙(UCP 600)의 내용에 관한 설명으로 옳은 것은?

문제 28. 다음에서 설명하는 무역클레임의 성질에 따른 분류로 옳은 것은?

문제 29. 보세구역의 종류에 관한 설명으로 옳지 않은 것은?

문제 30. Incoterms¢c 2010 규칙의 주요 개정 특징과 용어의 설명으로 옳지 않은 것은?

문제 31. JIT시스템의 도입 목표 및 효과가 아닌 것은?

문제 32. 전용부두에 접안하여 언로더(Unloader)나 그래브(Grab), 컨베이어벨트를 통해 야적장에 야적되며, 스태커(Stacker) 또는 리클레이머(Reclaimer), 트랙호퍼(Track Hopper) 등을 이용하여 상차 및 반출되는 화물은?

문제 33. 어느 상점에서 판매되는 제품과 관련된 자료는 아래와 같다. 경제적 주문량 모형(EOQ)에 의한 정량발주 재고정책을 취할 때 연간 최적 주문주기는? (단, 1년은 365일로 계산한다.)

문제 34. 무인 운반기기의 제어방식에 따른 유형으로 옳은 것은?

문제 35. 합리적인 하역의 원칙에 관한 설명으로 옳지 않은 것은?

문제 36. 선박에 화물을 싣고 내리는 작업으로 작업방식에 따라 접안 하역과 해상 하역으로 나눌 수 있는 작업은?

문제 37. 컨테이너터미널에서 사용되는 하역장비에 관한 설명으로 옳지 않은 것은?

문제 38. ICD의 이용에 따른 이점으로 옳지 않은 것은?

문제 39. K사에서 30일이 지난 후 철도차량 정비품 A의 1일 수요의 표준편차와 조달기간을 조사해 보니 이전보다 표준편차는 8에서 4로 감소되었고, 조달기간은 4일에서 9일로 증가되었다. 정비품 A의 안전재고수준은 어떻게 변동되는가?(단, 다른 조건은 동일하다.)


문제 40. 경제적 주문량모형(EOQ)의 기본 전제조건(또는 가정)이 아닌 것은?

문제 41. 화물자동차 운수사업법령상 화물자동차 운수사업의 운전업무 종사자격에 관한 설명으로 옳은 것은?

문제 42. 화물자동차 운수사업법령상 운송가맹사업자의 허가사항 변경신고 대상에 해당하지 않는 것은?

문제 43. 화물자동차 운수사업법상 운수종사자의 준수사항이 아닌 것은?

문제 44. 화물자동차 운수사업법령상 적재물배상보험등에 관한 설명으로 옳지 않은 것은?

문제 45. 화물자동차 운수사업법령상 화물자동차 운송사업의 폐업에 관한 설명으로 옳

문제 46. 화물자동차 운수사업법령상 화물자동차 운송사업자에 관한 설명으로 옳은 것은?

문제 47. 화물자동차 운수사업법상 위ㆍ수탁계약의 해지에 관한 설명이다. ( )에 들

문제 48. 유통산업발전법령상 용어의 정의에 관한 설명으로 옳지 않은 것은?

문제 49. 항만운송사업법상 항만운송사업의 등록에 관한 설명으로 옳지 않은 것은?

문제 50. 항만운송사업법령상 항만운송사업의 운임 및 요금에 관한 설명으로 옳지 않은 것은?

맨위로
맨위로